#include <arith_theorem_producer_old.h>


Definition at line 31 of file arith_theorem_producer_old.h.
| CVC3::ArithTheoremProducerOld::ArithTheoremProducerOld | ( | TheoremManager * | tm, | |
| TheoryArithOld * | theoryArith | |||
| ) | [inline] |
Compute the special modulus: i - m*floor(i/m+1/2).
Definition at line 2429 of file arith_theorem_producer_old.cpp.
References DebugAssert, CVC3::Rational::toString(), and CVC3::TRACE.
Referenced by f(), monomialModM(), and sumModM().
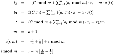
Create the term 't'. See eqElimIntRule().
Definition at line 2369 of file arith_theorem_producer_old.cpp.
References CLASS_NAME, DebugAssert, CVC3::Expr::getRational(), CVC3::isMult(), CVC3::isPlus(), monomialModM(), CVC3::multExpr(), CVC3::plusExpr(), rat(), sumModM(), CVC3::Rational::toString(), and CVC3::Expr::toString().
| Expr ArithTheoremProducerOld::create_t2 | ( | const Expr & | lhs, | |
| const Expr & | rhs, | |||
| const Expr & | t | |||
| ) | [private] |
Create the term 't2'. See eqElimIntRule().
Definition at line 2388 of file arith_theorem_producer_old.cpp.
References DebugAssert, CVC3::Expr::getRational(), CVC3::isPlus(), CVC3::Expr::isRational(), monomialModM(), CVC3::plusExpr(), rat(), sumModM(), and CVC3::Rational::toString().
Referenced by eqElimIntRule().
| Expr ArithTheoremProducerOld::create_t3 | ( | const Expr & | lhs, | |
| const Expr & | rhs, | |||
| const Expr & | t | |||
| ) | [private] |
Create the term 't3'. See eqElimIntRule().
Definition at line 2408 of file arith_theorem_producer_old.cpp.
References DebugAssert, CVC3::Expr::getRational(), CVC3::isPlus(), CVC3::Expr::isRational(), monomialMulF(), CVC3::plusExpr(), rat(), sumMulF(), and CVC3::Rational::toString().
Referenced by eqElimIntRule().
| void ArithTheoremProducerOld::sumModM | ( | std::vector< Expr > & | summands, | |
| const Expr & | sum, | |||
| const Rational & | m, | |||
| const Rational & | divisor | |||
| ) | [private] |
Takes sum = a_0 + a_1*x_1+...+a_n*x_n and returns the vector of similar monomials (in 'summands') with coefficients mod(a_i, m). If divide flag is true, the coefficients will be mod(a_i,m)/m.
Definition at line 2445 of file arith_theorem_producer_old.cpp.
References CVC3::Expr::begin(), CLASS_NAME, DebugAssert, CVC3::Expr::end(), CVC3::Expr::getRational(), CVC3::Expr::isRational(), modEq(), monomialModM(), rat(), and CVC3::Rational::toString().
Referenced by create_t(), and create_t2().
| Expr ArithTheoremProducerOld::monomialModM | ( | const Expr & | e, | |
| const Rational & | m, | |||
| const Rational & | divisor | |||
| ) | [private] |
Compute the special modulus: i - m*floor(i/m+1/2).
Definition at line 2465 of file arith_theorem_producer_old.cpp.
References CVC3::Expr::arity(), DebugAssert, CVC3::Expr::getKids(), CVC3::Expr::getRational(), CVC3::isMult(), modEq(), CVC3::multExpr(), rat(), CVC3::Expr::toString(), CVC3::Rational::toString(), and CVC3::TRACE.
Referenced by create_t(), create_t2(), and sumModM().
| void ArithTheoremProducerOld::sumMulF | ( | std::vector< Expr > & | summands, | |
| const Expr & | sum, | |||
| const Rational & | m, | |||
| const Rational & | divisor | |||
| ) | [private] |
Compute the special modulus: i - m*floor(i/m+1/2).
Definition at line 2493 of file arith_theorem_producer_old.cpp.
References CVC3::Expr::begin(), CLASS_NAME, DebugAssert, CVC3::Expr::end(), f(), CVC3::Expr::getRational(), CVC3::Expr::isRational(), monomialMulF(), rat(), and CVC3::Rational::toString().
Referenced by create_t3().
| Expr ArithTheoremProducerOld::monomialMulF | ( | const Expr & | e, | |
| const Rational & | m, | |||
| const Rational & | divisor | |||
| ) | [private] |
Compute the special modulus: i - m*floor(i/m+1/2).
Definition at line 2513 of file arith_theorem_producer_old.cpp.
References DebugAssert, f(), CVC3::isMult(), CVC3::multExpr(), rat(), and CVC3::Rational::toString().
Referenced by create_t3(), and sumMulF().
Compute floor(i/m+1/2) + mod(i,m).
Definition at line 2438 of file arith_theorem_producer_old.cpp.
References DebugAssert, modEq(), and CVC3::Rational::toString().
Referenced by monomialMulF(), and sumMulF().
Compute the special modulus: i - m*floor(i/m+1/2).
Definition at line 2530 of file arith_theorem_producer_old.cpp.
References CVC3::Expr::begin(), CVC3::Expr::end(), CVC3::ExprMap< Data >::end(), CVC3::ExprMap< Data >::find(), CVC3::isMult(), CVC3::isPlus(), and CVC3::plusExpr().
| void ArithTheoremProducerOld::getLeaves | ( | const Expr & | e, | |
| std::set< Rational > & | s, | |||
| ExprHashMap< bool > & | cache | |||
| ) | [private] |
Compute the special modulus: i - m*floor(i/m+1/2).
Definition at line 3838 of file arith_theorem_producer_old.cpp.
References CVC3::Expr::arity(), d_theoryArith, DebugAssert, CVC3::ExprHashMap< Data >::end(), CVC3::ExprHashMap< Data >::find(), CVC3::Expr::getRational(), CVC3::Expr::isAtomic(), CVC3::Expr::isITE(), CVC3::Theory::isLeaf(), and CVC3::Expr::isRational().
Referenced by rewriteLeavesConst().
Create Expr from Rational (for convenience).
Definition at line 70 of file arith_theorem_producer_old.h.
References CVC3::TheoremProducer::d_em, and CVC3::ExprManager::newRatExpr().
Referenced by canonCombineLikeTerms(), canonComboLikeTerms(), canonDivideConst(), canonDivideMult(), canonDividePlus(), canonDivideVar(), canonInvertConst(), canonInvertLeaf(), canonInvertMult(), canonInvertPow(), canonMult(), canonMultConstConst(), canonMultConstMult(), canonMultConstTerm(), canonMultLeafLeaf(), canonMultLeafOrPowMult(), canonMultOne(), canonMultPowLeaf(), canonMultPowPow(), canonMultZero(), canonPowConst(), canonUMinusToDivide(), compactNonLinearTerm(), create_t(), create_t2(), create_t3(), darkGrayShadow2ab(), darkGrayShadow2ba(), divideEqnNonConst(), elimPowerConst(), eqElimIntRule(), expandGrayShadow(), expandGrayShadowConst(), expandGrayShadowRewrite(), grayShadowConst(), implyDiffLogicBothBounds(), integerSplit(), intVarEqnConst(), leftMinusRight(), lessThanToLE(), lessThanToLERewrite(), minusToPlus(), monomialModM(), monomialMulF(), moveSumConstantRight(), multEqZero(), nonLinearIneqSignSplit(), powEqZero(), rafineStrictInteger(), rightMinusLeft(), simpleIneqInt(), simplifiedMultExpr(), splitGrayShadowSmall(), sumModM(), sumMulF(), uMinusToMult(), and varToMult().
| Type CVC3::ArithTheoremProducerOld::realType | ( | ) | [inline] |
Definition at line 71 of file arith_theorem_producer_old.h.
References d_theoryArith, and CVC3::TheoryArith::realType().
| Type CVC3::ArithTheoremProducerOld::intType | ( | ) | [inline] |
Definition at line 72 of file arith_theorem_producer_old.h.
References d_theoryArith, and CVC3::TheoryArith::intType().
Referenced by eqElimIntRule().
Construct the dark shadow expression representing lhs <= rhs.
Definition at line 74 of file arith_theorem_producer_old.h.
References d_theoryArith, and CVC3::TheoryArith::darkShadow().
| Expr CVC3::ArithTheoremProducerOld::grayShadow | ( | const Expr & | v, | |
| const Expr & | e, | |||
| const Rational & | c1, | |||
| const Rational & | c2 | |||
| ) | [inline] |
Construct the gray shadow expression representing c1 <= v - e <= c2.
Alternatively, v = e + i for some i s.t. c1 <= i <= c2
Definition at line 80 of file arith_theorem_producer_old.h.
References d_theoryArith, and CVC3::TheoryArith::grayShadow().
Referenced by darkGrayShadow2ab(), darkGrayShadow2ba(), finiteInterval(), grayShadowConst(), implyDiffLogicBothBounds(), and splitGrayShadow().
==> e = 1 * e
Implements CVC3::ArithProofRules.
Definition at line 57 of file arith_theorem_producer_old.cpp.
References CVC3::Assumptions::emptyAssump(), CVC3::TheoremProducer::newPf(), CVC3::TheoremProducer::newRWTheorem(), rat(), and CVC3::TheoremProducer::withProof().
==> -(e) = (-1) * e
Implements CVC3::ArithProofRules.
Definition at line 65 of file arith_theorem_producer_old.cpp.
References CVC3::Assumptions::emptyAssump(), CVC3::TheoremProducer::newPf(), CVC3::TheoremProducer::newRWTheorem(), rat(), and CVC3::TheoremProducer::withProof().
==> x - y = x + (-1) * y
Implements CVC3::ArithProofRules.
Definition at line 73 of file arith_theorem_producer_old.cpp.
References CVC3::Assumptions::emptyAssump(), CVC3::TheoremProducer::newPf(), CVC3::TheoremProducer::newRWTheorem(), rat(), and CVC3::TheoremProducer::withProof().
-(e) ==> e / (-1); takes 'e'
Canon Rule for unary minus: it just converts it to division by -1, the result is not yet canonical:
Implements CVC3::ArithProofRules.
Definition at line 83 of file arith_theorem_producer_old.cpp.
References CVC3::Assumptions::emptyAssump(), CVC3::TheoremProducer::newPf(), CVC3::TheoremProducer::newRWTheorem(), rat(), and CVC3::TheoremProducer::withProof().
(c) / d ==> (c/d), takes c and d
Canon Rules for division by constant 'd'
Implements CVC3::ArithProofRules.
Definition at line 92 of file arith_theorem_producer_old.cpp.
References CHECK_PROOFS, CHECK_SOUND, CLASS_NAME, CVC3::TheoremProducer::d_hole, CVC3::Assumptions::emptyAssump(), CVC3::Expr::getRational(), CVC3::isRational(), CVC3::TheoremProducer::newPf(), CVC3::TheoremProducer::newRWTheorem(), rat(), CVC3::Expr::toString(), and CVC3::TheoremProducer::withProof().
(c * x) / d ==> (c/d) * x, takes (c*x) and d
Implements CVC3::ArithProofRules.
Definition at line 111 of file arith_theorem_producer_old.cpp.
References CHECK_PROOFS, CHECK_SOUND, CLASS_NAME, CVC3::Assumptions::emptyAssump(), CVC3::Expr::getRational(), CVC3::isMult(), CVC3::isRational(), CVC3::TheoremProducer::newPf(), CVC3::TheoremProducer::newRWTheorem(), rat(), CVC3::Expr::toString(), and CVC3::TheoremProducer::withProof().
(+ c ...)/d ==> push division to all the coefficients.
The result is not canonical, but canonizing the summands will make it canonical. Takes (+ c ...) and d
Implements CVC3::ArithProofRules.
Definition at line 139 of file arith_theorem_producer_old.cpp.
References CVC3::Expr::arity(), CVC3::Expr::begin(), CHECK_PROOFS, CHECK_SOUND, CLASS_NAME, CVC3::Assumptions::emptyAssump(), CVC3::Expr::end(), CVC3::isPlus(), CVC3::isRational(), CVC3::TheoremProducer::newPf(), CVC3::TheoremProducer::newRWTheorem(), CVC3::plusExpr(), rat(), CVC3::Expr::toString(), and CVC3::TheoremProducer::withProof().
x / d ==> (1/d) * x, takes x and d
Implements CVC3::ArithProofRules.
Definition at line 162 of file arith_theorem_producer_old.cpp.
References CHECK_PROOFS, CHECK_SOUND, CLASS_NAME, CVC3::Assumptions::emptyAssump(), CVC3::Expr::getRational(), CVC3::isRational(), CVC3::TheoremProducer::newPf(), CVC3::TheoremProducer::newRWTheorem(), rat(), CVC3::Expr::toString(), and CVC3::TheoremProducer::withProof().
Definition at line 2556 of file arith_theorem_producer_old.cpp.
References CVC3::Expr::arity(), CVC3::Expr::begin(), DebugAssert, CVC3::Expr::end(), CVC3::Expr::getKind(), CVC3::Expr::getRational(), CVC3::Expr::isRational(), CVC3::MULT, CVC3::PLUS, CVC3::POW, and CVC3::RATIONAL_EXPR.
Referenced by MonomialLess::operator()().
Definition at line 197 of file arith_theorem_producer_old.cpp.
References DebugAssert, CVC3::multExpr(), and rat().
Referenced by canonMultConstMult(), canonMultLeafLeaf(), canonMultLeafOrPowMult(), canonMultPowLeaf(), and canonMultPowPow().
Definition at line 210 of file arith_theorem_producer_old.cpp.
References CVC3::Expr::arity(), CVC3::Expr::begin(), DebugAssert, CVC3::Expr::end(), CVC3::Expr::getKind(), CVC3::Expr::getRational(), CVC3::isRational(), CVC3::Expr::isRational(), CVC3::MULT, rat(), simplifiedMultExpr(), and CVC3::Expr::toString().
Referenced by canonMultMtermMterm().
Definition at line 232 of file arith_theorem_producer_old.cpp.
References CVC3::Expr::arity(), CVC3::Expr::begin(), canonMultMtermMterm(), d_theoryArith, DebugAssert, CVC3::Expr::end(), CVC3::Expr::getKind(), CVC3::Expr::getOp(), CVC3::Theorem::getRHS(), CVC3::Expr::isRational(), CVC3::PLUS, and CVC3::Theory::substitutivityRule().
Referenced by canonMultMtermMterm().
Definition at line 251 of file arith_theorem_producer_old.cpp.
References DebugAssert, CVC3::Expr::getKind(), CVC3::Expr::getRational(), CVC3::POW, CVC3::powExpr(), rat(), and simplifiedMultExpr().
Referenced by canonMultMtermMterm().
Definition at line 291 of file arith_theorem_producer_old.cpp.
References DebugAssert, CVC3::Expr::getKind(), CVC3::Expr::getRational(), CVC3::POW, CVC3::powExpr(), rat(), and simplifiedMultExpr().
Referenced by canonMultMtermMterm().
Definition at line 330 of file arith_theorem_producer_old.cpp.
References CVC3::powExpr(), rat(), and simplifiedMultExpr().
Referenced by canonMultMtermMterm().
Definition at line 358 of file arith_theorem_producer_old.cpp.
References CVC3::Expr::arity(), CVC3::Expr::begin(), DebugAssert, CVC3::Expr::end(), CVC3::Expr::getKind(), CVC3::Expr::getRational(), CVC3::MULT, CVC3::POW, CVC3::powExpr(), rat(), and simplifiedMultExpr().
Referenced by canonMultMtermMterm().
| Expr ArithTheoremProducerOld::canonCombineLikeTerms | ( | const std::vector< Expr > & | sumExprs | ) | [virtual] |
Definition at line 430 of file arith_theorem_producer_old.cpp.
References CVC3::Expr::arity(), CVC3::Expr::begin(), canonMultMtermMterm(), DebugAssert, CVC3::Expr::end(), CVC3::Expr::getKind(), CVC3::Expr::getRational(), CVC3::Theorem::getRHS(), CVC3::Expr::isRational(), CVC3::MULT, CVC3::multExpr(), CVC3::plusExpr(), and rat().
Referenced by canonMultLeafOrPowOrMultPlus(), canonMultPlusPlus(), and canonPlus().
| Expr ArithTheoremProducerOld::canonMultLeafOrPowOrMultPlus | ( | const Expr & | e1, | |
| const Expr & | e2 | |||
| ) | [virtual] |
Definition at line 511 of file arith_theorem_producer_old.cpp.
References CVC3::Expr::begin(), canonCombineLikeTerms(), canonMultMtermMterm(), DebugAssert, CVC3::Expr::end(), CVC3::Expr::getKind(), and CVC3::PLUS.
Referenced by canonMultMtermMterm().
Definition at line 530 of file arith_theorem_producer_old.cpp.
References CVC3::Expr::begin(), canonCombineLikeTerms(), canonMultMtermMterm(), DebugAssert, CVC3::Expr::end(), CVC3::Expr::getKind(), and CVC3::PLUS.
Referenced by canonMultMtermMterm().
Implements CVC3::ArithProofRules.
Definition at line 554 of file arith_theorem_producer_old.cpp.
References CVC3::Expr::arity(), CVC3::Expr::begin(), canonMultConstConst(), canonMultConstMult(), canonMultConstPlus(), canonMultLeafLeaf(), canonMultLeafOrPowMult(), canonMultLeafOrPowOrMultPlus(), canonMultOne(), canonMultPlusPlus(), canonMultPowLeaf(), canonMultPowPow(), canonMultZero(), CHECK_PROOFS, CHECK_SOUND, d_theoryArith, CVC3::Assumptions::emptyAssump(), FatalAssert, CVC3::Expr::getKind(), CVC3::Expr::getRational(), CVC3::Theorem::getRHS(), CVC3::isMult(), CVC3::Expr::isRational(), CVC3::MULT, CVC3::TheoremProducer::newPf(), CVC3::TheoremProducer::newRWTheorem(), CVC3::PLUS, CVC3::POW, CVC3::RATIONAL_EXPR, CVC3::Theory::reflexivityRule(), CVC3::Expr::toString(), and CVC3::TheoremProducer::withProof().
Referenced by canonCombineLikeTerms(), canonInvertMult(), canonMult(), canonMultConstPlus(), canonMultLeafOrPowOrMultPlus(), and canonMultPlusPlus().
Canonize (PLUS t1 ... tn).
Implements CVC3::ArithProofRules.
Definition at line 719 of file arith_theorem_producer_old.cpp.
References CVC3::Expr::begin(), canonCombineLikeTerms(), DebugAssert, CVC3::Assumptions::emptyAssump(), CVC3::Expr::end(), CVC3::Expr::getKind(), CVC3::TheoremProducer::newPf(), CVC3::TheoremProducer::newRWTheorem(), CVC3::PLUS, and CVC3::TheoremProducer::withProof().
Definition at line 819 of file arith_theorem_producer_old.cpp.
References CHECK_PROOFS, CHECK_SOUND, CVC3::Assumptions::emptyAssump(), CVC3::Expr::getRational(), CVC3::isRational(), CVC3::TheoremProducer::newPf(), CVC3::TheoremProducer::newRWTheorem(), rat(), CVC3::Expr::toString(), and CVC3::TheoremProducer::withProof().
Referenced by canonInvert().
Definition at line 835 of file arith_theorem_producer_old.cpp.
References CVC3::Assumptions::emptyAssump(), CVC3::TheoremProducer::newPf(), CVC3::TheoremProducer::newRWTheorem(), CVC3::powExpr(), rat(), and CVC3::TheoremProducer::withProof().
Referenced by canonInvert().
Definition at line 847 of file arith_theorem_producer_old.cpp.
References DebugAssert, CVC3::Assumptions::emptyAssump(), CVC3::Expr::getKind(), CVC3::TheoremProducer::newPf(), CVC3::TheoremProducer::newRWTheorem(), CVC3::POW, CVC3::powExpr(), rat(), CVC3::Expr::toString(), and CVC3::TheoremProducer::withProof().
Referenced by canonInvert().
Definition at line 866 of file arith_theorem_producer_old.cpp.
References CVC3::Expr::arity(), canonInvert(), canonMultMtermMterm(), DebugAssert, CVC3::Assumptions::emptyAssump(), CVC3::Expr::getKind(), CVC3::Theorem::getRHS(), CVC3::MULT, CVC3::TheoremProducer::newPf(), CVC3::TheoremProducer::newRWTheorem(), rat(), CVC3::Expr::toString(), and CVC3::TheoremProducer::withProof().
Referenced by canonInvert().
==> 1/e = e' where e' is canonical; takes e.
Implements CVC3::ArithProofRules.
Definition at line 889 of file arith_theorem_producer_old.cpp.
References canonInvertConst(), canonInvertLeaf(), canonInvertMult(), canonInvertPow(), DebugAssert, CVC3::Expr::getKind(), CVC3::MULT, CVC3::PLUS, CVC3::POW, CVC3::RATIONAL_EXPR, and CVC3::Expr::toString().
Referenced by canonDivide(), and canonInvertMult().
Transform e = (SUM r t1 ... tn) @ 0 into (SUM t1 ... tn) @ -r. The first sum term (r) must be a rational and t1 ... tn terms must be canonised.
| e | the expression to transform |
Implements CVC3::ArithProofRules.
Definition at line 911 of file arith_theorem_producer_old.cpp.
References CVC3::Expr::begin(), CHECK_PROOFS, CHECK_SOUND, CVC3::Assumptions::emptyAssump(), CVC3::Expr::end(), CVC3::Expr::getKind(), CVC3::Expr::isEq(), CVC3::isIneq(), CVC3::isPlus(), CVC3::Expr::isRational(), CVC3::isRational(), CVC3::TheoremProducer::newPf(), CVC3::TheoremProducer::newRWTheorem(), CVC3::plusExpr(), rat(), MiniSat::right(), CVC3::Expr::toString(), and CVC3::TheoremProducer::withProof().
e[0]/e[1] ==> e[0]*(e[1])^-1
Implements CVC3::ArithProofRules.
Definition at line 957 of file arith_theorem_producer_old.cpp.
References canonInvert(), canonMult(), d_theoryArith, DebugAssert, CVC3::DIVIDE, CVC3::Assumptions::emptyAssump(), CVC3::Expr::getKind(), CVC3::Theorem::getRHS(), CVC3::TheoremProducer::newPf(), CVC3::TheoremProducer::newRWTheorem(), CVC3::Expr::toString(), CVC3::Theory::transitivityRule(), and CVC3::TheoremProducer::withProof().
Multiply out the operands of the multiplication (each of them is expected to be canonised
Implements CVC3::ArithProofRules.
Definition at line 752 of file arith_theorem_producer_old.cpp.
References CVC3::TheoryArithOld::addMultiplicativeSignSplit(), CVC3::Expr::andExpr(), CVC3::Expr::arity(), CVC3::Expr::begin(), canonMultMtermMterm(), CVC3::TheoremProducer::d_em, d_theoryArith, DebugAssert, CVC3::Assumptions::emptyAssump(), CVC3::Expr::end(), CVC3::Expr::eqExpr(), CVC3::ExprManager::falseExpr(), CVC3::geExpr(), CVC3::Expr::getKind(), CVC3::Expr::getRational(), CVC3::Theorem::getRHS(), CVC3::Expr::iffExpr(), CVC3::Expr::impExpr(), CVC3::isPlus(), CVC3::isPow(), CVC3::Expr::isRational(), CVC3::leExpr(), CVC3::ltExpr(), CVC3::MULT, CVC3::TheoremProducer::newPf(), CVC3::TheoremProducer::newRWTheorem(), CVC3::TheoremProducer::newTheorem(), CVC3::TheoryArithOld::nonlinearSignSplit(), CVC3::orExpr(), rat(), CVC3::Expr::toString(), CVC3::TRACE, CVC3::ExprManager::trueExpr(), CVC3::TheoremProducer::withProof(), and CVC3::XOR.
Referenced by canonDivide().
t*c ==> c*t, takes constant c and term t
Implements CVC3::ArithProofRules.
Definition at line 975 of file arith_theorem_producer_old.cpp.
References CHECK_PROOFS, CHECK_SOUND, CLASS_NAME, CVC3::Assumptions::emptyAssump(), CVC3::isRational(), CVC3::TheoremProducer::newPf(), CVC3::TheoremProducer::newRWTheorem(), CVC3::Expr::toString(), and CVC3::TheoremProducer::withProof().
t1*t2 ==> Error, takes t1 and t2 where both are non-constants
Implements CVC3::ArithProofRules.
Definition at line 989 of file arith_theorem_producer_old.cpp.
References CHECK_PROOFS, CHECK_SOUND, and CVC3::Expr::toString().
0*t ==> 0, takes 0*t
Implements CVC3::ArithProofRules.
Definition at line 1002 of file arith_theorem_producer_old.cpp.
References CVC3::Assumptions::emptyAssump(), CVC3::TheoremProducer::newPf(), CVC3::TheoremProducer::newRWTheorem(), rat(), and CVC3::TheoremProducer::withProof().
Referenced by canonMultMtermMterm().
1*t ==> t, takes 1*t
Implements CVC3::ArithProofRules.
Definition at line 1010 of file arith_theorem_producer_old.cpp.
References CVC3::Assumptions::emptyAssump(), CVC3::TheoremProducer::newPf(), CVC3::TheoremProducer::newRWTheorem(), rat(), and CVC3::TheoremProducer::withProof().
Referenced by canonMultMtermMterm().
c1*c2 ==> c', takes constant c1*c2
Implements CVC3::ArithProofRules.
Definition at line 1019 of file arith_theorem_producer_old.cpp.
References CHECK_PROOFS, CHECK_SOUND, CLASS_NAME, CVC3::Assumptions::emptyAssump(), CVC3::Expr::getRational(), CVC3::isRational(), CVC3::TheoremProducer::newPf(), CVC3::TheoremProducer::newRWTheorem(), rat(), CVC3::Expr::toString(), and CVC3::TheoremProducer::withProof().
Referenced by canonMultMtermMterm().
| Theorem ArithTheoremProducerOld::canonMultConstTerm | ( | const Expr & | c1, | |
| const Expr & | c2, | |||
| const Expr & | t | |||
| ) | [virtual] |
c1*(c2*t) ==> c'*t, takes c1 and c2 and t
Implements CVC3::ArithProofRules.
Definition at line 1037 of file arith_theorem_producer_old.cpp.
References CHECK_PROOFS, CHECK_SOUND, CLASS_NAME, CVC3::Assumptions::emptyAssump(), CVC3::Expr::getRational(), CVC3::isRational(), CVC3::TheoremProducer::newPf(), CVC3::TheoremProducer::newRWTheorem(), rat(), CVC3::Expr::toString(), and CVC3::TheoremProducer::withProof().
c1*(+ c2 v1 ...) ==> (+ c' c1v1 ...), takes c1 and the sum
Implements CVC3::ArithProofRules.
Definition at line 1057 of file arith_theorem_producer_old.cpp.
References CVC3::Expr::begin(), CHECK_PROOFS, CHECK_SOUND, CLASS_NAME, CVC3::Assumptions::emptyAssump(), CVC3::Expr::end(), CVC3::Expr::getKind(), CVC3::isRational(), CVC3::TheoremProducer::newPf(), CVC3::TheoremProducer::newRWTheorem(), CVC3::PLUS, CVC3::plusExpr(), CVC3::Expr::toString(), and CVC3::TheoremProducer::withProof().
c^n = c' (compute the constant power expression)
Implements CVC3::ArithProofRules.
Definition at line 1080 of file arith_theorem_producer_old.cpp.
References CVC3::Expr::arity(), CHECK_PROOFS, CHECK_SOUND, CVC3::Assumptions::emptyAssump(), CVC3::Expr::getKind(), CVC3::Expr::getRational(), CVC3::Rational::isInteger(), CVC3::Expr::isRational(), CVC3::TheoremProducer::newPf(), CVC3::TheoremProducer::newRWTheorem(), CVC3::pow(), CVC3::POW, rat(), CVC3::Expr::toString(), and CVC3::TheoremProducer::withProof().
flattens the input. accepts a PLUS expr
Implements CVC3::ArithProofRules.
Definition at line 1107 of file arith_theorem_producer_old.cpp.
References CVC3::Expr::begin(), CHECK_PROOFS, CHECK_SOUND, CLASS_NAME, CVC3::Assumptions::emptyAssump(), CVC3::Expr::end(), CVC3::Expr::getKind(), CVC3::TheoremProducer::newPf(), CVC3::TheoremProducer::newRWTheorem(), CVC3::PLUS, CVC3::plusExpr(), CVC3::Expr::toString(), and CVC3::TheoremProducer::withProof().
combine like terms. accepts a flattened PLUS expr
Implements CVC3::ArithProofRules.
Definition at line 1134 of file arith_theorem_producer_old.cpp.
References CVC3::ExprMap< Data >::begin(), CVC3::Expr::begin(), CHECK_PROOFS, CHECK_SOUND, CLASS_NAME, CVC3::ExprMap< Data >::count(), CVC3::Assumptions::emptyAssump(), CVC3::ExprMap< Data >::end(), CVC3::Expr::end(), CVC3::isMult(), CVC3::isPlus(), CVC3::TheoremProducer::newPf(), CVC3::TheoremProducer::newRWTheorem(), CVC3::plusExpr(), rat(), and CVC3::TheoremProducer::withProof().
Implements CVC3::ArithProofRules.
Definition at line 1192 of file arith_theorem_producer_old.cpp.
References CVC3::Expr::begin(), CHECK_SOUND, CVC3::Assumptions::emptyAssump(), CVC3::Expr::end(), CVC3::Expr::eqExpr(), CVC3::Expr::getRational(), CVC3::isPow(), CVC3::Expr::isRational(), CVC3::TheoremProducer::newPf(), CVC3::TheoremProducer::newRWTheorem(), CVC3::OR, rat(), and CVC3::TheoremProducer::withProof().
Implements CVC3::ArithProofRules.
Definition at line 1239 of file arith_theorem_producer_old.cpp.
References CVC3::Expr::arity(), CHECK_PROOFS, CHECK_SOUND, CVC3::TheoremProducer::d_em, CVC3::Assumptions::emptyAssump(), CVC3::Expr::eqExpr(), CVC3::ExprManager::falseExpr(), CVC3::Expr::getRational(), CVC3::Expr::isEq(), CVC3::isPow(), CVC3::Expr::isRational(), CVC3::TheoremProducer::newPf(), CVC3::TheoremProducer::newRWTheorem(), rat(), CVC3::Expr::toString(), and CVC3::TheoremProducer::withProof().
Implements CVC3::ArithProofRules.
Definition at line 1266 of file arith_theorem_producer_old.cpp.
References CHECK_PROOFS, CHECK_SOUND, d_theoryArith, CVC3::Assumptions::emptyAssump(), CVC3::Expr::eqExpr(), CVC3::Expr::getRational(), CVC3::TheoryArithOld::isPowersEquality(), CVC3::TheoremProducer::newPf(), CVC3::TheoremProducer::newRWTheorem(), CVC3::Expr::orExpr(), CVC3::Expr::toString(), and CVC3::TheoremProducer::withProof().
| Theorem ArithTheoremProducerOld::elimPowerConst | ( | const Expr & | expr, | |
| const Rational & | root | |||
| ) | [virtual] |
Implements CVC3::ArithProofRules.
Definition at line 1285 of file arith_theorem_producer_old.cpp.
References CHECK_PROOFS, CHECK_SOUND, d_theoryArith, CVC3::Assumptions::emptyAssump(), CVC3::Expr::eqExpr(), CVC3::Expr::getRational(), CVC3::Expr::isEq(), CVC3::TheoryArithOld::isPowerEquality(), CVC3::TheoremProducer::newPf(), CVC3::TheoremProducer::newRWTheorem(), CVC3::Expr::orExpr(), CVC3::pow(), rat(), CVC3::Expr::toString(), and CVC3::TheoremProducer::withProof().
Implements CVC3::ArithProofRules.
Definition at line 1310 of file arith_theorem_producer_old.cpp.
References CHECK_PROOFS, CHECK_SOUND, CVC3::TheoremProducer::d_em, d_theoryArith, CVC3::Assumptions::emptyAssump(), CVC3::ExprManager::falseExpr(), CVC3::Expr::isEq(), CVC3::TheoryArithOld::isPowerEquality(), CVC3::TheoremProducer::newPf(), CVC3::TheoremProducer::newRWTheorem(), CVC3::Expr::toString(), and CVC3::TheoremProducer::withProof().
| Theorem ArithTheoremProducerOld::intEqIrrational | ( | const Expr & | expr, | |
| const Theorem & | isInt | |||
| ) | [virtual] |
Implements CVC3::ArithProofRules.
Definition at line 1330 of file arith_theorem_producer_old.cpp.
References CHECK_PROOFS, CHECK_SOUND, CVC3::TheoremProducer::d_em, d_theoryArith, CVC3::ExprManager::falseExpr(), CVC3::Theorem::getAssumptionsRef(), CVC3::Theorem::getExpr(), CVC3::Theorem::getProof(), CVC3::Expr::isEq(), CVC3::isIntPred(), CVC3::TheoryArithOld::isPowerEquality(), CVC3::TheoremProducer::newPf(), CVC3::TheoremProducer::newRWTheorem(), CVC3::ratRoot(), CVC3::Expr::toString(), and CVC3::TheoremProducer::withProof().
e0 @ e1 <==> true | false, where @ is {=,<,<=,>,>=}
| e | takes e is (e0@e1) where e0 and e1 are constants |
Implements CVC3::ArithProofRules.
Definition at line 1355 of file arith_theorem_producer_old.cpp.
References CVC3::Expr::arity(), CHECK_PROOFS, CHECK_SOUND, CLASS_NAME, CVC3::TheoremProducer::d_em, CVC3::Assumptions::emptyAssump(), CVC3::EQ, CVC3::ExprManager::falseExpr(), CVC3::GE, CVC3::Expr::getKind(), CVC3::Expr::getRational(), CVC3::GT, CVC3::isRational(), CVC3::LE, CVC3::LT, CVC3::TheoremProducer::newPf(), CVC3::TheoremProducer::newRWTheorem(), CVC3::Expr::toString(), CVC3::ExprManager::trueExpr(), and CVC3::TheoremProducer::withProof().
e[0] @ e[1] <==> 0 @ e[1] - e[0], where @ is {=,<,<=,>,>=}
Implements CVC3::ArithProofRules.
Definition at line 1394 of file arith_theorem_producer_old.cpp.
References CHECK_PROOFS, CHECK_SOUND, CVC3::Assumptions::emptyAssump(), CVC3::EQ, CVC3::GE, CVC3::Expr::getKind(), CVC3::Expr::getOp(), CVC3::GT, CVC3::LE, CVC3::LT, CVC3::TheoremProducer::newPf(), CVC3::TheoremProducer::newRWTheorem(), rat(), and CVC3::TheoremProducer::withProof().
e[0] @ e[1] <==> e[0] - e[1] @ 0, where @ is {=,<,<=,>,>=}
Implements CVC3::ArithProofRules.
Definition at line 1412 of file arith_theorem_producer_old.cpp.
References CHECK_PROOFS, CHECK_SOUND, CVC3::Assumptions::emptyAssump(), CVC3::EQ, CVC3::GE, CVC3::Expr::getKind(), CVC3::Expr::getOp(), CVC3::GT, CVC3::LE, CVC3::LT, CVC3::TheoremProducer::newPf(), CVC3::TheoremProducer::newRWTheorem(), rat(), and CVC3::TheoremProducer::withProof().
| Theorem ArithTheoremProducerOld::plusPredicate | ( | const Expr & | x, | |
| const Expr & | y, | |||
| const Expr & | z, | |||
| int | kind | |||
| ) | [virtual] |
x @ y <==> x + z @ y + z, where @ is {=,<,<=,>,>=} (given as 'kind')
Implements CVC3::ArithProofRules.
Definition at line 1430 of file arith_theorem_producer_old.cpp.
References CHECK_PROOFS, CHECK_SOUND, CVC3::Assumptions::emptyAssump(), CVC3::EQ, CVC3::GE, CVC3::GT, CVC3::LE, MiniSat::left(), CVC3::LT, CVC3::TheoremProducer::newPf(), CVC3::TheoremProducer::newRWTheorem(), MiniSat::right(), and CVC3::TheoremProducer::withProof().
| Theorem ArithTheoremProducerOld::multEqn | ( | const Expr & | x, | |
| const Expr & | y, | |||
| const Expr & | z | |||
| ) | [virtual] |
x = y <==> x * z = y * z, where z is a non-zero constant
Implements CVC3::ArithProofRules.
Definition at line 1449 of file arith_theorem_producer_old.cpp.
References CHECK_PROOFS, CHECK_SOUND, CVC3::Assumptions::emptyAssump(), CVC3::Expr::eqExpr(), CVC3::Expr::getRational(), CVC3::Expr::isRational(), CVC3::TheoremProducer::newPf(), CVC3::TheoremProducer::newRWTheorem(), and CVC3::TheoremProducer::withProof().
| Theorem ArithTheoremProducerOld::divideEqnNonConst | ( | const Expr & | x, | |
| const Expr & | y, | |||
| const Expr & | z | |||
| ) | [virtual] |
Implements CVC3::ArithProofRules.
Definition at line 1462 of file arith_theorem_producer_old.cpp.
References CVC3::Assumptions::emptyAssump(), CVC3::Expr::eqExpr(), CVC3::TheoremProducer::newPf(), CVC3::TheoremProducer::newRWTheorem(), CVC3::orExpr(), rat(), and CVC3::TheoremProducer::withProof().
Multiplying inequation by a non-zero constant.
z>0 ==> e[0] @ e[1] <==> e[0]*z @ e[1]*z
z<0 ==> e[0] @ e[1] <==> e[1]*z @ e[0]*z
for @ in {<,<=,>,>=}:
Implements CVC3::ArithProofRules.
Definition at line 1474 of file arith_theorem_producer_old.cpp.
References CHECK_PROOFS, CHECK_SOUND, CVC3::Assumptions::emptyAssump(), CVC3::GE, CVC3::Expr::getKind(), CVC3::Expr::getOp(), CVC3::Expr::getRational(), CVC3::GT, CVC3::Expr::isRational(), CVC3::LE, CVC3::LT, CVC3::TheoremProducer::newPf(), CVC3::TheoremProducer::newRWTheorem(), CVC3::Expr::toString(), and CVC3::TheoremProducer::withProof().
x = y ==> x <= y and x >= y
Implements CVC3::ArithProofRules.
Definition at line 1631 of file arith_theorem_producer_old.cpp.
References CVC3::andExpr(), CHECK_PROOFS, CHECK_SOUND, CVC3::Assumptions::emptyAssump(), CVC3::geExpr(), CVC3::Expr::isEq(), CVC3::leExpr(), CVC3::TheoremProducer::newPf(), CVC3::TheoremProducer::newRWTheorem(), CVC3::Expr::toString(), and CVC3::TheoremProducer::withProof().
"op1 GE|GT op2" <==> op2 LE|LT op1
Implements CVC3::ArithProofRules.
Definition at line 1653 of file arith_theorem_producer_old.cpp.
References CHECK_PROOFS, CHECK_SOUND, CVC3::Assumptions::emptyAssump(), CVC3::isGE(), CVC3::isGT(), CVC3::LE, CVC3::LT, CVC3::TheoremProducer::newPf(), CVC3::TheoremProducer::newRWTheorem(), CVC3::Expr::toString(), and CVC3::TheoremProducer::withProof().
Propagating negation over <,<=,>,>=.
NOT (op1 < op2) <==> (op1 >= op2)
NOT (op1 <= op2) <==> (op1 > op2)
NOT (op1 > op2) <==> (op1 <= op2)
NOT (op1 >= op2) <==> (op1 < op2)
Implements CVC3::ArithProofRules.
Definition at line 1673 of file arith_theorem_producer_old.cpp.
References CHECK_PROOFS, CHECK_SOUND, CVC3::Assumptions::emptyAssump(), CVC3::GE, CVC3::GT, CVC3::isGT(), CVC3::isIneq(), CVC3::isLE(), CVC3::isLT(), CVC3::Expr::isNot(), CVC3::LE, CVC3::LT, CVC3::TheoremProducer::newPf(), CVC3::TheoremProducer::newRWTheorem(), CVC3::Expr::toString(), and CVC3::TheoremProducer::withProof().
| Theorem ArithTheoremProducerOld::realShadow | ( | const Theorem & | alphaLTt, | |
| const Theorem & | tLTbeta | |||
| ) | [virtual] |
Real shadow: a <(=) t, t <(=) b ==> a <(=) b.
Implements CVC3::ArithProofRules.
Definition at line 1702 of file arith_theorem_producer_old.cpp.
References CHECK_PROOFS, CHECK_SOUND, CVC3::Theorem::getExpr(), CVC3::Expr::getKind(), CVC3::Theorem::getProof(), CVC3::isLE(), CVC3::isLT(), CVC3::LT, CVC3::TheoremProducer::newPf(), CVC3::TheoremProducer::newTheorem(), CVC3::Theorem::toString(), and CVC3::TheoremProducer::withProof().
| Theorem ArithTheoremProducerOld::realShadowEq | ( | const Theorem & | alphaLEt, | |
| const Theorem & | tLEalpha | |||
| ) | [virtual] |
alpha <= t <= alpha ==> t = alpha
takes two ineqs "|- alpha LE t" and "|- t LE alpha" and returns "|- t = alpha"
Implements CVC3::ArithProofRules.
Definition at line 1737 of file arith_theorem_producer_old.cpp.
References CHECK_PROOFS, CHECK_SOUND, CVC3::Theorem::getExpr(), CVC3::Theorem::getProof(), CVC3::isLE(), CVC3::TheoremProducer::newPf(), CVC3::TheoremProducer::newRWTheorem(), CVC3::Theorem::toString(), and CVC3::TheoremProducer::withProof().
| Theorem ArithTheoremProducerOld::finiteInterval | ( | const Theorem & | aLEt, | |
| const Theorem & | tLEac, | |||
| const Theorem & | isInta, | |||
| const Theorem & | isIntt | |||
| ) | [virtual] |
Finite interval for integers: a <= t <= a + c ==> G(t, a, 0, c).
Implements CVC3::ArithProofRules.
Definition at line 1769 of file arith_theorem_producer_old.cpp.
References CHECK_PROOFS, CHECK_SOUND, CVC3::Theorem::getExpr(), CVC3::Theorem::getProof(), grayShadow(), CVC3::isIntPred(), CVC3::isLE(), CVC3::isPlus(), CVC3::isRational(), CVC3::TheoremProducer::newPf(), CVC3::TheoremProducer::newTheorem(), CVC3::Expr::toString(), and CVC3::TheoremProducer::withProof().
| Theorem ArithTheoremProducerOld::darkGrayShadow2ab | ( | const Theorem & | betaLEbx, | |
| const Theorem & | axLEalpha, | |||
| const Theorem & | isIntAlpha, | |||
| const Theorem & | isIntBeta, | |||
| const Theorem & | isIntx | |||
| ) | [virtual] |
Dark & Gray shadows when a <= b.
takes two integer ineqs (i.e. all vars are ints) "|- beta <= b.x" and "|- a.x <= alpha" and checks if "1 <= a <= b" and returns (D or G) and (!D or !G), where D = Dark_Shadow(ab-1, b.alpha - a.beta), G = Gray_Shadow(a.x, alpha, -(a-1), 0).
Implements CVC3::ArithProofRules.
Definition at line 1833 of file arith_theorem_producer_old.cpp.
References CHECK_PROOFS, CHECK_SOUND, d_theoryArith, CVC3::geExpr(), CVC3::Theorem::getExpr(), CVC3::Theorem::getProof(), CVC3::Expr::getRational(), grayShadow(), CVC3::isIntPred(), CVC3::isLE(), CVC3::minusExpr(), CVC3::multExpr(), CVC3::TheoremProducer::newPf(), CVC3::TheoremProducer::newTheorem(), rat(), CVC3::TheoryArithOld::separateMonomial(), CVC3::Expr::toString(), CVC3::Theorem::toString(), and CVC3::TheoremProducer::withProof().
| Theorem ArithTheoremProducerOld::darkGrayShadow2ba | ( | const Theorem & | betaLEbx, | |
| const Theorem & | axLEalpha, | |||
| const Theorem & | isIntAlpha, | |||
| const Theorem & | isIntBeta, | |||
| const Theorem & | isIntx | |||
| ) | [virtual] |
Dark & Gray shadows when b <= a.
takes two integer ineqs (i.e. all vars are ints) "|- beta <= b.x" and "|- a.x <= alpha" and checks if "1 <= b < a" and returns (D or G) and (!D or !G), where D = Dark_Shadow(ab-1, b.alpha - a.beta), G = Gray_Shadow(b.x, beta, 0, b-1).
Implements CVC3::ArithProofRules.
Definition at line 1926 of file arith_theorem_producer_old.cpp.
References CHECK_PROOFS, CHECK_SOUND, d_theoryArith, CVC3::geExpr(), CVC3::Theorem::getExpr(), CVC3::Theorem::getProof(), CVC3::Expr::getRational(), grayShadow(), CVC3::isIntPred(), CVC3::isLE(), CVC3::minusExpr(), CVC3::multExpr(), CVC3::TheoremProducer::newPf(), CVC3::TheoremProducer::newTheorem(), rat(), CVC3::TheoryArithOld::separateMonomial(), CVC3::Expr::toString(), CVC3::Theorem::toString(), and CVC3::TheoremProducer::withProof().
takes a dark shadow and expands it into an inequality.
Implements CVC3::ArithProofRules.
Definition at line 2014 of file arith_theorem_producer_old.cpp.
References CHECK_PROOFS, CHECK_SOUND, CVC3::Theorem::getAssumptionsRef(), CVC3::Theorem::getExpr(), CVC3::Theorem::getProof(), CVC3::isDarkShadow(), CVC3::leExpr(), CVC3::TheoremProducer::newPf(), CVC3::TheoremProducer::newTheorem(), CVC3::Expr::toString(), and CVC3::TheoremProducer::withProof().
GRAY_SHADOW(v, e, c, c) ==> v=e+c.
Implements CVC3::ArithProofRules.
Definition at line 2029 of file arith_theorem_producer_old.cpp.
References CHECK_PROOFS, CHECK_SOUND, CVC3::Theorem::getAssumptionsRef(), CVC3::Theorem::getExpr(), CVC3::Theorem::getProof(), CVC3::isGrayShadow(), CVC3::TheoremProducer::newPf(), CVC3::TheoremProducer::newRWTheorem(), CVC3::Expr::toString(), and CVC3::TheoremProducer::withProof().
G(x, e, c1, c2) ==> (G1 or G2) and (!G1 or !G2).
Here G1 = G(x,e,c1,c), G2 = G(x,e,c+1,c2), and c = floor((c1+c2)/2).
Implements CVC3::ArithProofRules.
Definition at line 2054 of file arith_theorem_producer_old.cpp.
References CHECK_PROOFS, CHECK_SOUND, CVC3::Theorem::getAssumptionsRef(), CVC3::Theorem::getExpr(), CVC3::Theorem::getProof(), CVC3::Expr::getRational(), grayShadow(), CVC3::isGrayShadow(), CVC3::Rational::isInteger(), CVC3::TheoremProducer::newPf(), CVC3::TheoremProducer::newTheorem(), CVC3::Expr::toString(), and CVC3::TheoremProducer::withProof().
Implements CVC3::ArithProofRules.
Definition at line 3456 of file arith_theorem_producer_old.cpp.
References CHECK_PROOFS, CHECK_SOUND, CVC3::Expr::eqExpr(), CVC3::Theorem::getAssumptionsRef(), CVC3::Theorem::getExpr(), CVC3::Rational::getInt(), CVC3::Theorem::getProof(), CVC3::Expr::getRational(), CVC3::isGrayShadow(), CVC3::Rational::isInteger(), CVC3::TheoremProducer::newPf(), CVC3::TheoremProducer::newTheorem(), CVC3::orExpr(), rat(), CVC3::Expr::toString(), and CVC3::TheoremProducer::withProof().
G(x, e, c1, c2) ==> e+c1 <= x AND x <= e+c2.
Implements CVC3::ArithProofRules.
Definition at line 2091 of file arith_theorem_producer_old.cpp.
References CHECK_PROOFS, CHECK_SOUND, CVC3::Theorem::getAssumptionsRef(), CVC3::Theorem::getExpr(), CVC3::Theorem::getProof(), CVC3::Expr::getRational(), CVC3::isGrayShadow(), CVC3::Rational::isInteger(), CVC3::leExpr(), CVC3::TheoremProducer::newPf(), CVC3::TheoremProducer::newTheorem(), rat(), CVC3::Expr::toString(), and CVC3::TheoremProducer::withProof().
Optimized rules: GRAY_SHADOW(a*x, c, c1, c2) ==> [expansion].
Implements three versions of the rule:
where the conclusion may become FALSE or without the GRAY_SHADOW part, depending on the values of a, c and i.
Implements CVC3::ArithProofRules.
Definition at line 2122 of file arith_theorem_producer_old.cpp.
References CVC3::abs(), CHECK_PROOFS, CHECK_SOUND, constRHSGrayShadow(), CVC3::TheoremProducer::d_em, CVC3::Expr::eqExpr(), CVC3::ExprManager::falseExpr(), CVC3::Theorem::getAssumptionsRef(), CVC3::Theorem::getExpr(), CVC3::Theorem::getProof(), CVC3::Expr::getRational(), CVC3::GRAY_SHADOW, CVC3::isGrayShadow(), CVC3::Rational::isInteger(), CVC3::isMult(), CVC3::Expr::isRational(), CVC3::isRational(), CVC3::TheoremProducer::newPf(), CVC3::TheoremProducer::newRWTheorem(), CVC3::TheoremProducer::newTheorem(), CVC3::Expr::orExpr(), rat(), CVC3::Expr::toString(), and CVC3::TheoremProducer::withProof().
|- G(ax, c, c1, c2) ==> |- G(x, 0, ceil((c1+c)/a), floor((c2+c)/a))
In the case the new c1 > c2, return |- FALSE
Implements CVC3::ArithProofRules.
Definition at line 2187 of file arith_theorem_producer_old.cpp.
References CHECK_PROOFS, CHECK_SOUND, CVC3::TheoremProducer::d_em, d_theoryArith, CVC3::ExprManager::falseExpr(), CVC3::Theorem::getAssumptionsRef(), CVC3::Theorem::getExpr(), CVC3::Theorem::getProof(), CVC3::Expr::getRational(), grayShadow(), CVC3::isGrayShadow(), CVC3::Rational::isInteger(), CVC3::Expr::isRational(), CVC3::TheoremProducer::newPf(), CVC3::TheoremProducer::newTheorem(), rat(), CVC3::TheoryArithOld::separateMonomial(), CVC3::Expr::toString(), and CVC3::TheoremProducer::withProof().
| Rational ArithTheoremProducerOld::constRHSGrayShadow | ( | const Rational & | c, | |
| const Rational & | b, | |||
| const Rational & | a | |||
| ) |
Implements j(c,b,a).
accepts 3 integers a,b,c and returns (b > 0)? (c+b) mod a : (a - (c+b)) mod a
Definition at line 2227 of file arith_theorem_producer_old.cpp.
References DebugAssert, and CVC3::Rational::isInteger().
Referenced by expandGrayShadowConst().
| Theorem ArithTheoremProducerOld::lessThanToLE | ( | const Theorem & | less, | |
| const Theorem & | isIntLHS, | |||
| const Theorem & | isIntRHS, | |||
| bool | changeRight | |||
| ) | [virtual] |
Takes a Theorem(\alpha < \beta) and returns Theorem(\alpha < \beta <==> \alpha <= \beta -1) where \alpha and \beta are integer expressions
Implements CVC3::ArithProofRules.
Definition at line 2245 of file arith_theorem_producer_old.cpp.
References CHECK_PROOFS, CHECK_SOUND, CVC3::Theorem::getExpr(), CVC3::Theorem::getProof(), CVC3::isIntPred(), CVC3::isLT(), CVC3::leExpr(), CVC3::TheoremProducer::newPf(), CVC3::TheoremProducer::newRWTheorem(), rat(), CVC3::Expr::toString(), and CVC3::TheoremProducer::withProof().
| Theorem ArithTheoremProducerOld::lessThanToLERewrite | ( | const Expr & | ineq, | |
| const Theorem & | isIntLHS, | |||
| const Theorem & | isIntRHS, | |||
| bool | changeRight | |||
| ) | [virtual] |
Takes a Theorem(\alpha < \beta) and returns Theorem(\alpha < \beta <==> \alpha <= \beta -1) where \alpha and \beta are integer expressions
Implements CVC3::ArithProofRules.
Definition at line 3416 of file arith_theorem_producer_old.cpp.
References CHECK_PROOFS, CHECK_SOUND, CVC3::Theorem::getExpr(), CVC3::Theorem::getProof(), CVC3::isIntPred(), CVC3::isLT(), CVC3::leExpr(), CVC3::TheoremProducer::newPf(), CVC3::TheoremProducer::newRWTheorem(), rat(), CVC3::Expr::toString(), and CVC3::TheoremProducer::withProof().
| Theorem ArithTheoremProducerOld::intVarEqnConst | ( | const Expr & | eqn, | |
| const Theorem & | isIntx | |||
| ) | [virtual] |
| eqn | is an equation 0 = a.x or 0 = c + a.x | |
| isIntx | is a proof of IS_INTEGER(x) |
Implements CVC3::ArithProofRules.
Definition at line 2297 of file arith_theorem_producer_old.cpp.
References CVC3::Expr::arity(), CHECK_PROOFS, CHECK_SOUND, CVC3::TheoremProducer::d_em, d_theoryArith, CVC3::Expr::eqExpr(), CVC3::ExprManager::falseExpr(), CVC3::Theorem::getAssumptionsRef(), CVC3::Theorem::getExpr(), CVC3::Theorem::getProof(), CVC3::Expr::getRational(), CVC3::Rational::isInteger(), CVC3::isIntPred(), CVC3::isMult(), CVC3::isPlus(), CVC3::Expr::isRational(), CVC3::isRational(), MiniSat::left(), CVC3::TheoremProducer::newPf(), CVC3::TheoremProducer::newRWTheorem(), rat(), MiniSat::right(), CVC3::TheoryArithOld::separateMonomial(), CVC3::Expr::toString(), and CVC3::TheoremProducer::withProof().
IS_INTEGER(x) |= EXISTS (y : INT) y = x where x is not already known to be an integer.
Implements CVC3::ArithProofRules.
Definition at line 2682 of file arith_theorem_producer_old.cpp.
References CHECK_PROOFS, CHECK_SOUND, CVC3::TheoremProducer::d_em, d_theoryArith, DebugAssert, CVC3::Expr::eqExpr(), CVC3::EXISTS, CVC3::Theorem::getExpr(), CVC3::Expr::getKind(), CVC3::Theorem::getProof(), CVC3::TheoryArith::intType(), CVC3::IS_INTEGER, CVC3::TheoryArithOld::isInteger(), CVC3::ExprManager::newBoundVarExpr(), CVC3::ExprManager::newClosureExpr(), CVC3::TheoremProducer::newPf(), CVC3::TheoremProducer::newTheorem(), and CVC3::TheoremProducer::withProof().
| Theorem ArithTheoremProducerOld::eqElimIntRule | ( | const Theorem & | eqn, | |
| const Theorem & | isIntx, | |||
| const std::vector< Theorem > & | isIntVars | |||
| ) | [virtual] |
Equality elimination rule for integers:
See the detailed description for explanations.
This rule implements a step in the iterative algorithm for eliminating integer equality. The terms in the rule are defined as follows:
All the variables and coefficients are integer, and a >= 2.
| eqn | is the equation
|
See detailed docs for more information. This rule implements a step in the iterative algorithm for eliminating integer equality. The terms in the rule are defined as follows:
All the variables and coefficients are integer, and a >= 2.
| eqn | is the equation ax=t:
| |
| isIntx | is a Theorem deriving the integrality of the LHS variable: IS_INTEGER(x) | |
| isIntVars | is a vector of Theorems deriving the integrality of all variables on the RHS |
Implements CVC3::ArithProofRules.
Definition at line 2708 of file arith_theorem_producer_old.cpp.
References CVC3::Expr::arity(), CHECK_PROOFS, CHECK_SOUND, create_t2(), create_t3(), CVC3::TheoremProducer::d_em, d_theoryArith, CVC3::Expr::eqExpr(), CVC3::EXISTS, CVC3::Theorem::getExpr(), CVC3::Theorem::getLHS(), CVC3::Theorem::getProof(), CVC3::Expr::getRational(), CVC3::Theorem::getRHS(), CVC3::int2string(), intType(), CVC3::isDivide(), CVC3::isInt(), CVC3::Rational::isInteger(), CVC3::isIntPred(), CVC3::isPlus(), CVC3::isRational(), CVC3::Theorem::isRewrite(), CVC3::ExprManager::newBoundVarExpr(), CVC3::ExprManager::newClosureExpr(), CVC3::TheoremProducer::newPf(), CVC3::TheoremProducer::newTheorem(), rat(), CVC3::TheoryArithOld::separateMonomial(), CVC3::Expr::setType(), CVC3::Rational::toString(), CVC3::Expr::toString(), CVC3::Theorem::toString(), CVC3::TRACE, and CVC3::TheoremProducer::withProof().
return e <=> TRUE/FALSE for e == IS_INTEGER(c), where c is a constant
| e | is a predicate IS_INTEGER(c) where c is a rational constant |
Implements CVC3::ArithProofRules.
Definition at line 2800 of file arith_theorem_producer_old.cpp.
References CHECK_PROOFS, CHECK_SOUND, CVC3::TheoremProducer::d_em, CVC3::Assumptions::emptyAssump(), CVC3::ExprManager::falseExpr(), CVC3::Expr::getRational(), CVC3::isInt(), CVC3::Rational::isInteger(), CVC3::isIntPred(), CVC3::isRational(), CVC3::TheoremProducer::newPf(), CVC3::TheoremProducer::newRWTheorem(), CVC3::Expr::toString(), CVC3::ExprManager::trueExpr(), and CVC3::TheoremProducer::withProof().
Implements CVC3::ArithProofRules.
Definition at line 2816 of file arith_theorem_producer_old.cpp.
References CHECK_PROOFS, CHECK_SOUND, CVC3::Theorem::getAssumptionsRef(), CVC3::Theorem::getProof(), CVC3::Theorem::getRHS(), CVC3::MULT, CVC3::TheoremProducer::newPf(), CVC3::TheoremProducer::newRWTheorem(), CVC3::PLUS, CVC3::RATIONAL_EXPR, and CVC3::TheoremProducer::withProof().
Implements CVC3::ArithProofRules.
Definition at line 2845 of file arith_theorem_producer_old.cpp.
References CHECK_PROOFS, CHECK_SOUND, CVC3::Theorem::getAssumptionsRef(), CVC3::Theorem::getProof(), CVC3::Theorem::getRHS(), CVC3::MULT, CVC3::TheoremProducer::newPf(), CVC3::TheoremProducer::newRWTheorem(), CVC3::PLUS, CVC3::RATIONAL_EXPR, and CVC3::TheoremProducer::withProof().
Implements CVC3::ArithProofRules.
Definition at line 2874 of file arith_theorem_producer_old.cpp.
References CHECK_PROOFS, CHECK_SOUND, CVC3::Theorem::getAssumptionsRef(), CVC3::Theorem::getProof(), CVC3::Theorem::getRHS(), CVC3::MULT, CVC3::TheoremProducer::newPf(), CVC3::TheoremProducer::newRWTheorem(), CVC3::PLUS, CVC3::RATIONAL_EXPR, and CVC3::TheoremProducer::withProof().
Implements CVC3::ArithProofRules.
Definition at line 2903 of file arith_theorem_producer_old.cpp.
References CHECK_PROOFS, CHECK_SOUND, CVC3::Theorem::getAssumptionsRef(), CVC3::Theorem::getProof(), CVC3::Theorem::getRHS(), CVC3::MULT, CVC3::TheoremProducer::newPf(), CVC3::TheoremProducer::newRWTheorem(), CVC3::PLUS, CVC3::RATIONAL_EXPR, and CVC3::TheoremProducer::withProof().
x /= y ==> (x < y) OR (x > y)
Used in concrete model generation
Implements CVC3::ArithProofRules.
Definition at line 2931 of file arith_theorem_producer_old.cpp.
References CHECK_PROOFS, CHECK_SOUND, CVC3::Theorem::getAssumptionsRef(), CVC3::Theorem::getExpr(), CVC3::Theorem::getProof(), CVC3::gtExpr(), CVC3::Expr::isEq(), CVC3::Expr::isNot(), CVC3::ltExpr(), CVC3::TheoremProducer::newPf(), CVC3::TheoremProducer::newTheorem(), CVC3::orExpr(), CVC3::Expr::toString(), and CVC3::TheoremProducer::withProof().
Implements CVC3::ArithProofRules.
Definition at line 2950 of file arith_theorem_producer_old.cpp.
References CVC3::TheoremProducer::d_em, CVC3::Assumptions::emptyAssump(), CVC3::TheoremProducer::newRWTheorem(), and CVC3::ExprManager::trueExpr().
Implements CVC3::ArithProofRules.
Definition at line 2955 of file arith_theorem_producer_old.cpp.
References CVC3::Expr::arity(), CHECK_PROOFS, CHECK_SOUND, CVC3::Assumptions::emptyAssump(), CVC3::Expr::getRational(), CVC3::isMult(), CVC3::Expr::isRational(), CVC3::TheoremProducer::newPf(), CVC3::TheoremProducer::newRWTheorem(), CVC3::Expr::toString(), and CVC3::TheoremProducer::withProof().
| Theorem ArithTheoremProducerOld::clashingBounds | ( | const Theorem & | lowerBound, | |
| const Theorem & | upperBound | |||
| ) | [virtual] |
Implements CVC3::ArithProofRules.
Definition at line 2976 of file arith_theorem_producer_old.cpp.
References CVC3::Assumptions::add(), CHECK_PROOFS, CHECK_SOUND, CVC3::TheoremProducer::d_em, CVC3::ExprManager::falseExpr(), CVC3::Theorem::getExpr(), CVC3::Expr::getRational(), CVC3::isGE(), CVC3::isGT(), CVC3::isLE(), CVC3::isLT(), CVC3::isRational(), CVC3::TheoremProducer::newPf(), CVC3::TheoremProducer::newTheorem(), CVC3::Expr::toString(), and CVC3::TheoremProducer::withProof().
| Theorem ArithTheoremProducerOld::addInequalities | ( | const Theorem & | thm1, | |
| const Theorem & | thm2 | |||
| ) | [virtual] |
Implements CVC3::ArithProofRules.
Definition at line 3016 of file arith_theorem_producer_old.cpp.
References CHECK_PROOFS, CHECK_SOUND, CVC3::Theorem::getExpr(), CVC3::Expr::getKind(), CVC3::Theorem::getProof(), CVC3::GT, CVC3::isGE(), CVC3::isGT(), CVC3::isIneq(), CVC3::isLE(), CVC3::isLT(), CVC3::LT, CVC3::TheoremProducer::newPf(), CVC3::TheoremProducer::newTheorem(), CVC3::plusExpr(), CVC3::Expr::toString(), and CVC3::TheoremProducer::withProof().
Implements CVC3::ArithProofRules.
Definition at line 3775 of file arith_theorem_producer_old.cpp.
References CVC3::Assumptions::add(), CHECK_PROOFS, CHECK_SOUND, CVC3::Theorem::getExpr(), CVC3::isIneq(), CVC3::isLE(), CVC3::isLT(), CVC3::LE, CVC3::LT, CVC3::TheoremProducer::newPf(), CVC3::TheoremProducer::newTheorem(), CVC3::plusExpr(), CVC3::Expr::toString(), and CVC3::TheoremProducer::withProof().
| Theorem ArithTheoremProducerOld::implyWeakerInequality | ( | const Expr & | expr1, | |
| const Expr & | expr2 | |||
| ) | [virtual] |
Implements CVC3::ArithProofRules.
Definition at line 3065 of file arith_theorem_producer_old.cpp.
References CVC3::Expr::arity(), CHECK_PROOFS, CHECK_SOUND, CVC3::Assumptions::emptyAssump(), CVC3::Expr::getKind(), CVC3::Expr::getRational(), CVC3::Expr::impExpr(), CVC3::isIneq(), CVC3::isPlus(), CVC3::isRational(), CVC3::LE, CVC3::LT, CVC3::TheoremProducer::newPf(), CVC3::TheoremProducer::newTheorem(), CVC3::plusExpr(), CVC3::Expr::toString(), and CVC3::TheoremProducer::withProof().
| Theorem ArithTheoremProducerOld::implyNegatedInequality | ( | const Expr & | expr1, | |
| const Expr & | expr2 | |||
| ) | [virtual] |
Implements CVC3::ArithProofRules.
Definition at line 3131 of file arith_theorem_producer_old.cpp.
References CVC3::Expr::arity(), CHECK_PROOFS, CHECK_SOUND, CVC3::Assumptions::emptyAssump(), CVC3::Expr::getKind(), CVC3::Expr::getRational(), CVC3::Expr::impExpr(), CVC3::isIneq(), CVC3::isMult(), CVC3::isPlus(), CVC3::isRational(), CVC3::LT, CVC3::Expr::negate(), CVC3::TheoremProducer::newPf(), CVC3::TheoremProducer::newTheorem(), CVC3::plusExpr(), CVC3::Expr::toString(), and CVC3::TheoremProducer::withProof().
| Theorem ArithTheoremProducerOld::integerSplit | ( | const Expr & | intVar, | |
| const Rational & | intPoint | |||
| ) | [virtual] |
Implements CVC3::ArithProofRules.
Definition at line 3230 of file arith_theorem_producer_old.cpp.
References CHECK_PROOFS, CHECK_SOUND, CVC3::Assumptions::emptyAssump(), CVC3::geExpr(), CVC3::IS_INTEGER, CVC3::Rational::isInteger(), CVC3::leExpr(), CVC3::TheoremProducer::newPf(), CVC3::TheoremProducer::newTheorem(), CVC3::orExpr(), rat(), CVC3::Rational::toString(), and CVC3::TheoremProducer::withProof().
| Theorem ArithTheoremProducerOld::trustedRewrite | ( | const Expr & | expr1, | |
| const Expr & | expr2 | |||
| ) | [virtual] |
Implements CVC3::ArithProofRules.
Definition at line 3217 of file arith_theorem_producer_old.cpp.
References CVC3::Assumptions::emptyAssump(), CVC3::TheoremProducer::newPf(), CVC3::TheoremProducer::newRWTheorem(), and CVC3::TheoremProducer::withProof().
| Theorem ArithTheoremProducerOld::rafineStrictInteger | ( | const Theorem & | isIntConstrThm, | |
| const Expr & | constr | |||
| ) | [virtual] |
Implements CVC3::ArithProofRules.
Definition at line 3253 of file arith_theorem_producer_old.cpp.
References CVC3::Expr::arity(), CHECK_PROOFS, CHECK_SOUND, d_theoryArith, CVC3::GE, CVC3::Theorem::getAssumptionsRef(), CVC3::Theorem::getExpr(), CVC3::Expr::getKind(), CVC3::Theorem::getProof(), CVC3::Expr::getRational(), CVC3::Expr::getString(), CVC3::GT, CVC3::isIneq(), CVC3::Rational::isInteger(), CVC3::Theory::isLeaf(), CVC3::isPlus(), CVC3::Expr::isRational(), CVC3::isRational(), CVC3::LE, CVC3::LT, CVC3::TheoremProducer::newPf(), CVC3::TheoremProducer::newRWTheorem(), CVC3::plusExpr(), rat(), CVC3::Expr::toString(), and CVC3::TheoremProducer::withProof().
| Theorem ArithTheoremProducerOld::simpleIneqInt | ( | const Expr & | ineq, | |
| const Theorem & | isIntRHS | |||
| ) | [virtual] |
Implements CVC3::ArithProofRules.
Definition at line 1508 of file arith_theorem_producer_old.cpp.
References CVC3::Expr::arity(), CHECK_PROOFS, CHECK_SOUND, CVC3::Assumptions::emptyAssump(), CVC3::GE, CVC3::Theorem::getExpr(), CVC3::Expr::getKind(), CVC3::Theorem::getProof(), CVC3::Expr::getRational(), CVC3::GT, CVC3::isIntPred(), CVC3::isMult(), CVC3::isPlus(), CVC3::Expr::isRational(), CVC3::Expr::isVar(), CVC3::LE, CVC3::LT, CVC3::TheoremProducer::newPf(), CVC3::TheoremProducer::newRWTheorem(), rat(), and CVC3::TheoremProducer::withProof().
| Theorem ArithTheoremProducerOld::intEqualityRationalConstant | ( | const Theorem & | isIntConstrThm, | |
| const Expr & | constr | |||
| ) | [virtual] |
Implements CVC3::ArithProofRules.
Definition at line 3332 of file arith_theorem_producer_old.cpp.
References CVC3::Expr::arity(), CHECK_PROOFS, CHECK_SOUND, CVC3::TheoremProducer::d_em, CVC3::EQ, CVC3::ExprManager::falseExpr(), CVC3::Theorem::getAssumptionsRef(), CVC3::Theorem::getExpr(), CVC3::Expr::getKind(), CVC3::Theorem::getProof(), CVC3::Expr::getRational(), CVC3::Expr::getString(), CVC3::isPlus(), CVC3::isRational(), CVC3::Expr::isRational(), CVC3::TheoremProducer::newPf(), CVC3::TheoremProducer::newRWTheorem(), CVC3::Expr::toString(), and CVC3::TheoremProducer::withProof().
| Theorem ArithTheoremProducerOld::cycleConflict | ( | const std::vector< Theorem > & | inequalitites | ) | [virtual] |
Implements CVC3::ArithProofRules.
Definition at line 3369 of file arith_theorem_producer_old.cpp.
References CVC3::Assumptions::add(), CVC3::TheoremProducer::d_em, CVC3::ExprManager::falseExpr(), CVC3::TheoremProducer::newPf(), CVC3::TheoremProducer::newTheorem(), and CVC3::TheoremProducer::withProof().
| Theorem ArithTheoremProducerOld::implyEqualities | ( | const std::vector< Theorem > & | inequalities | ) | [virtual] |
Implements CVC3::ArithProofRules.
Definition at line 3388 of file arith_theorem_producer_old.cpp.
References CVC3::Assumptions::add(), CVC3::andExpr(), CVC3::Expr::eqExpr(), CVC3::TheoremProducer::newPf(), CVC3::TheoremProducer::newTheorem(), CVC3::RAW_LIST, and CVC3::TheoremProducer::withProof().
| Theorem ArithTheoremProducerOld::implyWeakerInequalityDiffLogic | ( | const std::vector< Theorem > & | antecedentThms, | |
| const Expr & | implied | |||
| ) | [virtual] |
Implements CVC3::ArithProofRules.
Definition at line 3494 of file arith_theorem_producer_old.cpp.
References CVC3::Assumptions::add(), CVC3::TheoremProducer::newPf(), CVC3::TheoremProducer::newTheorem(), CVC3::RAW_LIST, and CVC3::TheoremProducer::withProof().
| Theorem ArithTheoremProducerOld::implyNegatedInequalityDiffLogic | ( | const std::vector< Theorem > & | antecedentThms, | |
| const Expr & | implied | |||
| ) | [virtual] |
Implements CVC3::ArithProofRules.
Definition at line 3516 of file arith_theorem_producer_old.cpp.
References CVC3::Assumptions::add(), CVC3::TheoremProducer::newPf(), CVC3::TheoremProducer::newTheorem(), CVC3::Expr::notExpr(), CVC3::RAW_LIST, and CVC3::TheoremProducer::withProof().
Implements CVC3::ArithProofRules.
Definition at line 3539 of file arith_theorem_producer_old.cpp.
References CHECK_PROOFS, CHECK_SOUND, CVC3::Assumptions::emptyAssump(), CVC3::Expr::getRational(), CVC3::isGrayShadow(), CVC3::Rational::isInteger(), CVC3::leExpr(), CVC3::TheoremProducer::newPf(), CVC3::TheoremProducer::newRWTheorem(), rat(), CVC3::Expr::toString(), and CVC3::TheoremProducer::withProof().
Implements CVC3::ArithProofRules.
Definition at line 3567 of file arith_theorem_producer_old.cpp.
References CVC3::Expr::arity(), CVC3::Expr::begin(), CVC3::Assumptions::emptyAssump(), CVC3::Rational::getInt(), CVC3::Expr::getRational(), CVC3::isMult(), CVC3::isPow(), CVC3::isRational(), CVC3::multExpr(), CVC3::TheoremProducer::newPf(), CVC3::TheoremProducer::newRWTheorem(), CVC3::plusExpr(), rat(), and CVC3::TheoremProducer::withProof().
Implements CVC3::ArithProofRules.
Definition at line 3697 of file arith_theorem_producer_old.cpp.
References CVC3::Assumptions::add(), CVC3::Expr::arity(), CHECK_PROOFS, CHECK_SOUND, CVC3::TheoremProducer::d_em, CVC3::Expr::eqExpr(), CVC3::ExprManager::falseExpr(), CVC3::Theorem::getExpr(), CVC3::Expr::getKind(), CVC3::Theorem::getProof(), CVC3::Expr::getRational(), CVC3::isMult(), CVC3::isPlus(), CVC3::isPow(), CVC3::LE, CVC3::ltExpr(), CVC3::TheoremProducer::newPf(), CVC3::TheoremProducer::newTheorem(), CVC3::Expr::orExpr(), CVC3::POW, rat(), CVC3::Expr::toString(), CVC3::ExprManager::trueExpr(), CVC3::TheoremProducer::withProof(), and CVC3::XOR.
| Theorem ArithTheoremProducerOld::implyDiffLogicBothBounds | ( | const Expr & | x, | |
| std::vector< Theorem > & | c1_le_x, | |||
| Rational | c1, | |||
| std::vector< Theorem > & | x_le_c2, | |||
| Rational | c2 | |||
| ) | [virtual] |
Implements CVC3::ArithProofRules.
Definition at line 3742 of file arith_theorem_producer_old.cpp.
References CVC3::Assumptions::add(), grayShadow(), CVC3::TheoremProducer::newPf(), CVC3::TheoremProducer::newTheorem(), rat(), and CVC3::TheoremProducer::withProof().
Implements CVC3::ArithProofRules.
Definition at line 3823 of file arith_theorem_producer_old.cpp.
References CHECK_PROOFS, CHECK_SOUND, CVC3::Assumptions::emptyAssump(), CVC3::isPow(), CVC3::isRational(), CVC3::TheoremProducer::newPf(), CVC3::TheoremProducer::newRWTheorem(), CVC3::Expr::toString(), and CVC3::TheoremProducer::withProof().
Reimplemented from CVC3::ArithProofRules.
Definition at line 3867 of file arith_theorem_producer_old.cpp.
References CVC3::ExprHashMap< Data >::clear(), CVC3::TheoremProducer::d_em, d_theoryArith, DebugAssert, CVC3::Assumptions::emptyAssump(), CVC3::Expr::end(), CVC3::EQ, CVC3::ExprManager::falseExpr(), CVC3::GE, CVC3::Expr::getKind(), getLeaves(), CVC3::GT, CVC3::Expr::isNull(), CVC3::Expr::isPropAtom(), CVC3::LE, CVC3::TheoryArith::leavesAreNumConst(), CVC3::LT, CVC3::TheoremProducer::newPf(), CVC3::TheoremProducer::newRWTheorem(), CVC3::Theory::reflexivityRule(), CVC3::ExprManager::trueExpr(), and CVC3::TheoremProducer::withProof().
Definition at line 32 of file arith_theorem_producer_old.h.
Referenced by canonDivide(), canonMult(), canonMultConstPlus(), canonMultMtermMterm(), darkGrayShadow2ab(), darkGrayShadow2ba(), darkShadow(), elimPower(), elimPowerConst(), eqElimIntRule(), evenPowerEqNegConst(), getLeaves(), grayShadow(), grayShadowConst(), intEqIrrational(), intType(), intVarEqnConst(), IsIntegerElim(), rafineStrictInteger(), realType(), and rewriteLeavesConst().
1.5.8